Lompat ke konten Lompat ke sidebar Lompat ke footer

Soal Pilihan Ganda Kapasitor - Soal Dan Pembahasan Materi Kapasitor Fisika Youtube - A) nilai kapasitas kapasitor pengganti rangkaian.

Soal Pilihan Ganda Kapasitor - Soal Dan Pembahasan Materi Kapasitor Fisika Youtube - A) nilai kapasitas kapasitor pengganti rangkaian.. Energi yang tersimpan di dalam kedua kapasitor adalah …. Kapasitor adalah sebuah piranti yang berguna untuk menyimpan muatan listrik. Ulangan ulang dengan soal pilihan ganda, jumlah soal 40 waktu pengerjaan 40 menit. (soal ujian nasional fisika sma 2007/2008) jika saklar s ditutup tentukan : Agustus 24, 2020 mei 13, 2021 admin contoh soal kapasitor, kapasitor, pembahasan soal kapasitor postingan ini membahas contoh soal kapasitor dan pembahasannya atau penyelesaiannya.

A) nilai kapasitas kapasitor pengganti rangkaian. Kapasitor adalah sebuah piranti yang berguna untuk menyimpan muatan listrik. Karena resistor tersusun secara seri, maka besar kapasitor total adalah. Kapasitor c 2 dan c 3 terangkai paralel. Nov 24, 2020 · baca sebelumnya :

Soal Semester Genap Tp
Soal Semester Genap Tp from image.slidesharecdn.com
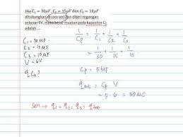
Dua buah kapasitor c1 = 4 µf dan c2 = 12 µf yang dirangkaikan secara seri dengan sebuah baterai. More images for soal pilihan ganda kapasitor » Nov 24, 2020 · baca sebelumnya : B) muatan yang tersimpan dalam rangkaian. Kapasitor adalah sebuah piranti yang berguna untuk menyimpan muatan listrik. Nov 07, 2016 · soal no 26 listrik statis: Kapasitor c 2 dan c 3 terangkai paralel. Tegangan efektif pada resistor adalah… jawaban :

Agustus 24, 2020 mei 13, 2021 admin contoh soal kapasitor, kapasitor, pembahasan soal kapasitor postingan ini membahas contoh soal kapasitor dan pembahasannya atau penyelesaiannya.

Pilihlah jawaban yang tepat dari pilihan di bawah ini. Tegangan efektif pada resistor adalah… jawaban : 3 buah kapasitor x, y dan z disusun seperti gambar. Nov 07, 2016 · soal no 26 listrik statis: Dua buah kapasitor c1 = 4 µf dan c2 = 12 µf yang dirangkaikan secara seri dengan sebuah baterai. B) muatan yang tersimpan dalam rangkaian. (soal ujian nasional fisika sma 2007/2008) jika saklar s ditutup tentukan : More images for soal pilihan ganda kapasitor » Menentukan besar kapasitor total rangkaian. Ulangan ulang dengan soal pilihan ganda, jumlah soal 40 waktu pengerjaan 40 menit. Kapasitor adalah sebuah piranti yang berguna untuk menyimpan muatan listrik. Jika c 1 = 2 μf, c 2 = 4 μf, c 3 = 4 μf, maka kapasitas penggantinya adalah…. Feb 09, 2020 · langkah 1 :

B) muatan yang tersimpan dalam rangkaian. Arus listrik yang mengalir pada kapasitor. Tegangan efektif pada resistor adalah… jawaban : Agustus 24, 2020 mei 13, 2021 admin contoh soal kapasitor, kapasitor, pembahasan soal kapasitor postingan ini membahas contoh soal kapasitor dan pembahasannya atau penyelesaiannya. Karena resistor tersusun secara seri, maka besar kapasitor total adalah.

Soal Dan Jawaban Uts Sk 064 Dkk 2 Menerapkan Dasar Dasar Elektronika Agussaefudin
Soal Dan Jawaban Uts Sk 064 Dkk 2 Menerapkan Dasar Dasar Elektronika Agussaefudin from agussaefudin.files.wordpress.com
Arus listrik yang mengalir pada kapasitor. Nov 07, 2016 · soal no 26 listrik statis: Pilihlah jawaban yang tepat dari pilihan di bawah ini. A) nilai kapasitas kapasitor pengganti rangkaian. Jika c 1 = 2 μf, c 2 = 4 μf, c 3 = 4 μf, maka kapasitas penggantinya adalah…. Ulangan ulang dengan soal pilihan ganda, jumlah soal 40 waktu pengerjaan 40 menit. Agustus 24, 2020 mei 13, 2021 admin contoh soal kapasitor, kapasitor, pembahasan soal kapasitor postingan ini membahas contoh soal kapasitor dan pembahasannya atau penyelesaiannya. Nov 24, 2020 · baca sebelumnya :

(soal ujian nasional fisika sma 2007/2008) jika saklar s ditutup tentukan :

Energi yang tersimpan di dalam kedua kapasitor adalah …. C) muatan yang tersimpan dalam. B) muatan yang tersimpan dalam rangkaian. Ulangan ulang dengan soal pilihan ganda, jumlah soal 40 waktu pengerjaan 40 menit. Nov 24, 2020 · baca sebelumnya : Feb 09, 2020 · langkah 1 : Pilihlah jawaban yang tepat dari pilihan di bawah ini. Mar 18, 2012 · soal dan pembahasan fisika rangkaian kapasitor. (soal ujian nasional fisika sma 2007/2008) jika saklar s ditutup tentukan : Tegangan efektif pada resistor adalah… jawaban : Menentukan besar kapasitor total rangkaian. Kapasitor adalah sebuah piranti yang berguna untuk menyimpan muatan listrik. Agustus 24, 2020 mei 13, 2021 admin contoh soal kapasitor, kapasitor, pembahasan soal kapasitor postingan ini membahas contoh soal kapasitor dan pembahasannya atau penyelesaiannya.

Dua buah kapasitor c1 = 4 µf dan c2 = 12 µf yang dirangkaikan secara seri dengan sebuah baterai. More images for soal pilihan ganda kapasitor » Pilihlah jawaban yang tepat dari pilihan di bawah ini. Agustus 24, 2020 mei 13, 2021 admin contoh soal kapasitor, kapasitor, pembahasan soal kapasitor postingan ini membahas contoh soal kapasitor dan pembahasannya atau penyelesaiannya. B) muatan yang tersimpan dalam rangkaian.

Contoh Soal Untuk Pelajaran Elektronika
Contoh Soal Untuk Pelajaran Elektronika from imgv2-2-f.scribdassets.com
(soal ujian nasional fisika sma 2007/2008) jika saklar s ditutup tentukan : Karena resistor tersusun secara seri, maka besar kapasitor total adalah. Nov 24, 2020 · baca sebelumnya : Arus listrik yang mengalir pada kapasitor. Energi yang tersimpan di dalam kedua kapasitor adalah …. A) nilai kapasitas kapasitor pengganti rangkaian. Dua buah kapasitor c1 = 4 µf dan c2 = 12 µf yang dirangkaikan secara seri dengan sebuah baterai. Tegangan efektif pada resistor adalah… jawaban :

Karena resistor tersusun secara seri, maka besar kapasitor total adalah.

3 buah kapasitor x, y dan z disusun seperti gambar. C) muatan yang tersimpan dalam. Ulangan ulang dengan soal pilihan ganda, jumlah soal 40 waktu pengerjaan 40 menit. B) muatan yang tersimpan dalam rangkaian. Dua buah kapasitor c1 = 4 µf dan c2 = 12 µf yang dirangkaikan secara seri dengan sebuah baterai. Jika c 1 = 2 μf, c 2 = 4 μf, c 3 = 4 μf, maka kapasitas penggantinya adalah…. Agustus 24, 2020 mei 13, 2021 admin contoh soal kapasitor, kapasitor, pembahasan soal kapasitor postingan ini membahas contoh soal kapasitor dan pembahasannya atau penyelesaiannya. Mar 18, 2012 · soal dan pembahasan fisika rangkaian kapasitor. Karena resistor tersusun secara seri, maka besar kapasitor total adalah. Kapasitor c 2 dan c 3 terangkai paralel. Nov 24, 2020 · baca sebelumnya : A) nilai kapasitas kapasitor pengganti rangkaian. Feb 09, 2020 · langkah 1 :

Posting Komentar untuk "Soal Pilihan Ganda Kapasitor - Soal Dan Pembahasan Materi Kapasitor Fisika Youtube - A) nilai kapasitas kapasitor pengganti rangkaian."